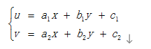
Affine transformation (Affine Transformation or Affine Map) is a linear transformation from two-dimensional coordinates (x, y) to two-dimensional coordinates (u, v). Its mathematical expression is as follows:
The corresponding homogeneous coordinate matrix representation is:

Affine transformation maintains the "flatness" of two-dimensional graphics (straight lines remain straight lines after affine transformation) and "parallelism" (the relative positional relationship between straight lines remains unchanged, and parallel lines remain straight after affine transformation) It is still a parallel line, and the position order of the points on the line will not change). Three non-collinear pairs of corresponding points determine a unique affine transformation. The rotation of the image plus the lifting is the image affine transformation. Affine change also requires an M matrix. However, due to the complexity of the affine transformation, it is generally difficult to find this matrix directly. OpenCV provides three points before and after the transformation. Correspondence relationship to automatically solve M. This function is:
M=cv2.getAffineTransform(pos1,pos2)
Two of the positions are the corresponding position relationships before and after the transformation. The output is the affine matrix M. Then use the function cv2.warpAffine().
After entering the Raspberry Pi 5 desktop, open a terminal and run the following command to start the container corresponding to Dofbot:
xxxxxxxxxx./Docker_Ros.sh
Access Jupyter Lab within Docker:
xxxxxxxxxxIP:9999 // Example: 192.168.1.11:9999
Code path: /root/Dofbot/4.opencv/2.Transform/05_Radiation.ipynb
xxxxxxxxxximport cv2import numpy as npimport matplotlib.pyplot as plt img = cv2.imread('yahboom.jpg',1)img_bgr2rgb = cv2.cvtColor(img, cv2.COLOR_BGR2RGB)plt.imshow(img_bgr2rgb)plt.show()#cv2.waitKey(0)xxxxxxxxxximgInfo = img.shapeheight = imgInfo[0]width = imgInfo[1]#src 3->dst 3 (upper left corner, lower left corner, upper right corner)matSrc = np.float32([[0,0], [0,height-1], [width-1,0]])matDst = np.float32([[50,50], [300,height-200], [width-300,100]])#combinationmatAffine = cv2.getAffineTransform(matSrc,matDst)# mat 1 src 2 dstdst = cv2.warpAffine(img,matAffine,(width,height))img_bgr2rgb = cv2.cvtColor(dst, cv2.COLOR_BGR2RGB)plt.imshow(img_bgr2rgb)